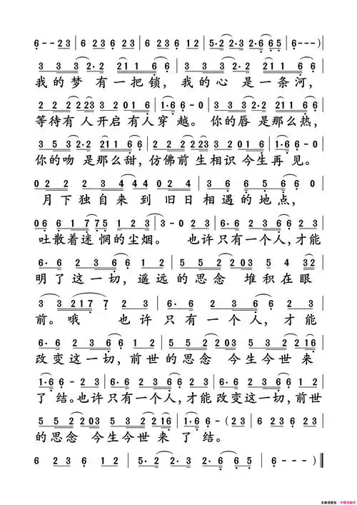
一世情缘简谱

相关图片

一世情缘简谱

求跪 童安格《一世情缘》的简谱

一世情缘简谱(歌词)_林玉英演唱_岭南印象制谱

【歌曲简谱】 一世情缘 (童安格)

一世情缘 _一世情缘 简谱_一世情缘 吉他谱_钢琴谱-查字典简谱网

随机推荐

antara–花式粗体字母复古风招牌logo包装设计英文手写装饰字体下载

可爱的小女孩q版临摹@马良简笔画工具:ipad air4代,apple pencil,pro

东方卫视跨年##钟汉良东方卫视跨年

幼儿园手工制作大全图片简单_幼儿园大型简单手工制作大全2022已更新(

【ipad绘画】小鬼僵尸教程_哔哩哔哩_bilibili

dota2官博: 全英雄头像第十一批(共12张)德鲁伊的小熊不可能这么萌

勒东图片如何客观评价靳东的长相

女孩望大海的头像 女生头像图片大全 -【爱个性】