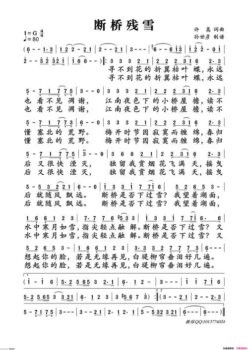
断桥残雪简谱-许嵩演唱-许嵩/许嵩词曲-看乐谱网

相关图片

断桥残雪简谱-苍强曲谱

许嵩- 断桥残雪 简谱和歌词,_百度知道

断桥残雪葫芦丝曲谱乐谱吉他谱 - 虫虫吉他谱免费下载 - 虫虫吉他

断桥残雪 许嵩 歌谱 简谱-明明简谱网

断桥残雪智能简谱许嵩演唱-苍强曲谱

随机推荐

阶梯- 优质问答专区

lavieenrose_dot

svip丧系女生头像:要珍惜自己的青春不要轻言放弃

探营西安马拉松赛前活动三千年城池和百年赛事之间的对话

儿童颈托歪头矫正器脖套固定牵引偏头斜颈脖子前倾纠正小孩儿童大号l

翟潇闻0528生日快乐#翟潇闻生日照,好嫩好可爱,我狠狠亲一口0090

【真人案例】大脚骨病情加重?原来脚底按摩是有风险的.

吟美泰国老虎膏清凉舒爽温和舒缓止痒四季可用老虎膏按摩膏批发