跟随主耶稣简谱

相关图片

歌曲名称为第69首 -今生跟随主耶稣,歌谱类型为简谱

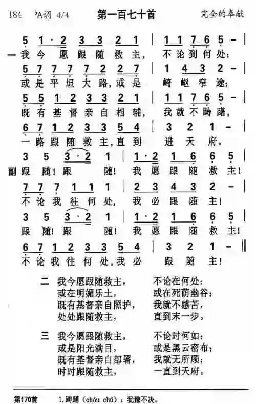
我今愿跟随救主) / 南窗听雨编辑相关歌谱:[简谱]170我今愿跟随局主

跟随救主) / 南窗听雨编辑相关歌谱:[钢琴谱]第374首 -跟随救主简

下载跟随主生死永相依歌谱

我必跟随主

随机推荐

浪漫爱情玫瑰花图片高清电脑桌面壁纸下载

朴灿烈# #朴灿烈闪耀今夏# 161101 sbs fm power concert窗外月色

成年女子标准体重图片

摩托车汽车电瓶充电器12v蓄电池修复充电电机多功能其它汽车电子用品

小李琳剖腹产女 老公经超称《如懿传》剧组旺生娃

我的眼睛的白色部分有点血斑,有没有问题?会不会是什么疾病?

狐狸的夏天剧照壁纸_谭松韵姜潮谎言cp_明星图片_

【图】台湾美男邱泽真实身高曝光 因服兵役暂离演艺圈