大鱼钢琴简谱c大调钢琴曲

相关图片

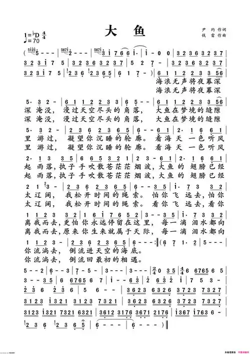
大鱼简谱双手原版

大鱼简谱-周深演唱1

大鱼(《大鱼海棠》动画电影印象曲.mp3*2)_简谱

大鱼简谱(歌词)-周深演唱-《大鱼海棠》动画电影印象曲1

大鱼简谱

随机推荐

男生一个人的孤单黑白图片

joy朴秀荣

11张幼儿园趣味活动卡通涂色图片-红豆饭小学生简笔画大全

家常菜菜单图片

一个穿着黑色衣服的快乐的年轻黑发女人的全身肖像照片-正版商用图片

蝙蝠侠黑暗骑士小丑(希斯莱杰)燃向踩点【im a wanted man-royal

译文名著精选 巴黎圣母院【法】雨果/著 管震湖/译 外国文学 上海译文

红色礼服婚鞋20早春新款尖头绸缎面细跟高跟闪闪水钻跟百搭单鞋女