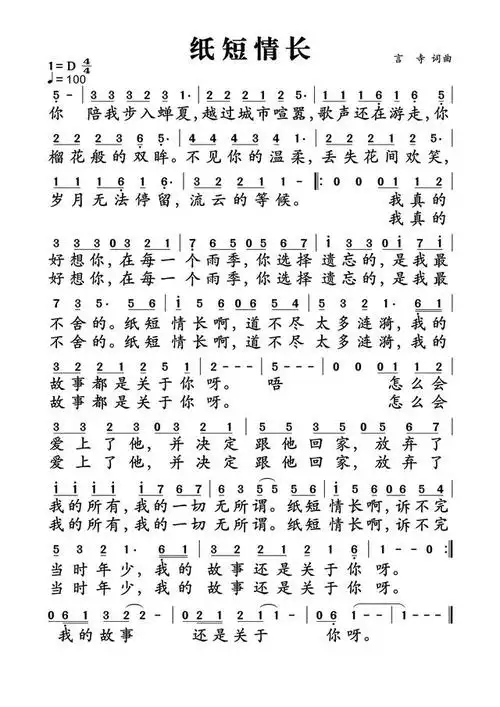
小编有话说音乐简谱是一首歌的灵魂,没有音谱歌词就只能是词,学习汉字

相关图片

monsters-抖音热歌-爱你不止三千遍双手简谱预览1

流行钢琴曲《老男孩》双手简谱钢琴 c调 简单好听93 #钢琴 - 抖音

星辰大海-我向你奔赴而来你就是星辰大海-抖音热歌双手简谱预览1

千千万万万万千千个日夜是我对你说不尽的思念-抖音热歌双手简谱预览1

喜欢的收藏了吧失忆(图小图)抖音热门歌曲 最新流行 钢琴双手简谱

随机推荐

全球公认十大帅哥美女都是西方的,东方没人了吗?_世界_四大_天王

美食烹饪锦标赛之温氏尚厨杯—首届粤菜名厨创新菜大赛火热开赛_食品

武神赵子龙夏侯轻衣林允儿

上海卫视当家花旦倪琳,今嫁入豪门,美艳婚纱照曾让七男争做新郎

秋冬季装饰品全头套激情劫匪悍匪牛战士头套牛战士面具搞怪毛线i

通体雪白!陕西发现1只纯白色小梅花鹿

乐迪.

钩针日本花片200片3745附图解