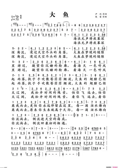
大鱼简谱

相关图片

大鱼简谱-周深演唱1

高音中音竖笛《大鱼》示范 乐谱 伴奏音频

大鱼简谱(歌词)-周深演唱-《大鱼海棠》动画电影印象曲1

大鱼 简谱分享 大鱼海棠主题曲 大鱼 简谱分享

大鱼(电影《大鱼海棠》印象曲)简谱_流行简谱_zzmao简谱网

随机推荐

冷门电影|金城武 陈慧琳 粤语合唱【何处觅蓬莱】片段cut

谭松韵,20岁演甄嬛传,30岁提名白玉兰,请最贵律师为母亲讨公道

跟自己生肖相克的动物图片也不可以用,大家都知道生肖一共是有十二个

被网友暂停次数多的电影名场面,小丑女撩小李子上榜

66个秘密解读蒙娜丽莎的前世今生

清纯 性感,red velvet裴珠泫长直发露脐装展现理想型女友模样

泰国beautybuffetq10牛奶洗面奶女保湿深层清洁男控油补水

张艺兴白衬衫证件照