哒螨灵结构式

cas:511-36-4|的分子结构

图片尺寸769x381

cas:10070-36-7|的分子结构

图片尺寸419x355

哒螨灵

图片尺寸250x250

zoledronate

图片尺寸297x447

34212-94-7([(1s)-7α-ethenyl-1,2,3,4,4a

图片尺寸447x290

> 1055928-37-4

图片尺寸283x289

> 110732-19-9

图片尺寸1912x1626

达螨灵:扫螨净结构式图片|96489-71-3结构式图片

图片尺寸605x375

哒嗪衍生物

图片尺寸269x232

商品信息

图片尺寸855x573

96489-71-3 哒螨灵 cas号96489-71-3分子式,结构式,msds,熔点,沸点

图片尺寸1024x900

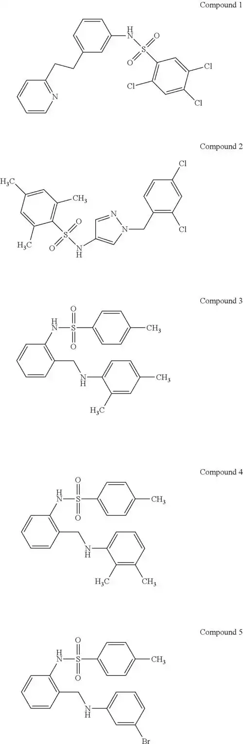
novel sulphonamide derivatives as glucocorticoid recep

图片尺寸854x2607

哒螨灵

图片尺寸601x304

google 专利

图片尺寸1674x2495

哒螨灵结构式图片|96489-71-3结构式图片

图片尺寸306x306

3.

图片尺寸1603x2117

哒螨灵结构式

图片尺寸220x120

哒螨灵

图片尺寸425x155

哒螨灵结构式

图片尺寸425x155

牛津郡哒螨灵标准品结构式

图片尺寸605x375