螺纹尺寸表

常用螺纹尺寸和钻头选用表

图片尺寸721x994

常用普通螺纹基本尺寸表

图片尺寸920x1302

美制螺纹标准对照表

图片尺寸920x1302

常用螺纹规格尺寸表

图片尺寸785x1061

螺纹基本尺寸对照表

图片尺寸890x1258

螺纹基本尺寸对照表

图片尺寸920x1302

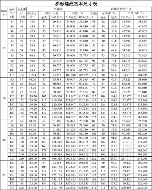
梯形螺纹基本尺寸表12-24

图片尺寸793x987

英制螺纹规格表

图片尺寸1222x1725

机械螺丝螺纹成型规格表

图片尺寸813x1124

螺纹规格表

图片尺寸861x1212

英制螺纹标准_第1页

图片尺寸920x1303

公制螺纹尺寸表

图片尺寸689x731

55度管螺纹的基本尺寸表

图片尺寸920x1303

螺纹表

图片尺寸844x1213

管螺纹尺寸表

图片尺寸920x1303

螺纹基本尺寸对照表12495doc

图片尺寸920x1302

常用普通螺纹基本尺寸表

图片尺寸920x1301

螺纹 第1页 (共2页,当前第1页) 的相关文档搜索 相关文档 螺纹尺寸表

图片尺寸653x1026

螺纹规格表

图片尺寸831x1216

螺纹尺寸表

图片尺寸722x1164