螺纹规格表标准

螺纹参数表

图片尺寸850x1111

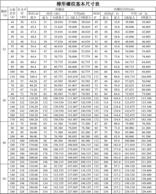
梯形螺纹基本尺寸表12-24

图片尺寸793x987

螺纹基本尺寸对照表

图片尺寸890x1258

螺纹加工尺寸对照表

图片尺寸800x566

英制螺纹标准_第1页

图片尺寸920x1303

公制螺纹明细表

图片尺寸485x665

螺纹基本尺寸对照表

图片尺寸920x1279

螺纹基本尺寸对照表

图片尺寸920x1302

公制螺纹表格

图片尺寸800x1133

2-公制细螺纹

图片尺寸653x1026

常用螺纹规格尺寸表

图片尺寸785x1061

公制螺纹尺寸表

图片尺寸689x731

英制螺纹规格表

图片尺寸1222x1725

螺纹基本尺寸对照表12495doc

图片尺寸920x1302

机械螺丝螺纹成型规格表

图片尺寸813x1124

常见的螺纹与底孔加工对照表,不算很全,够用就行了98!#cn - 抖音

图片尺寸756x921

螺纹规格表

图片尺寸861x1212

机械/仪表 螺纹表 公制粗螺纹 美制细螺纹 2级牙钻孔径 标准径 规格

图片尺寸844x1213

螺纹规格表

图片尺寸831x1216

螺纹尺寸表

图片尺寸722x1164