医生我从来不吃糖为什么会得糖尿病

相关图片

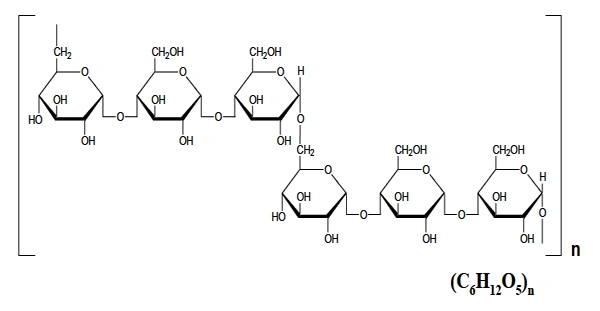
失水而成,是一类分子结构复杂且庞大的糖类物质

第4节细胞中的糖类和脂质ppt

糖类

果糖 环状结构式

九人分享让你大跌眼镜的与食物有关的事实

随机推荐

头像Ⅱ仙气感十足的女生头像

原创原创28张图看刘亦菲的美貌进化史从少女到女神美貌如何穿越时空

董璇怀孕大肚照写真明星孕妇照董璇

在京召开|"北大医学-益可医人体微生态联合实验室"建设座谈会

动作大片《摩天营救》定档7.20 "巨石"强森千米高空惊险营救-猫眼电影

《琉璃》成毅袁冰妍,恋爱小课堂实习篇,实操教你如何正确过七夕

《红箭》两个夏青当面对质,赵咏梅准确说出负伤时间,而她的结局可想而

m4a1,m60,awm,98k,mp5,scar……懂得进!|awm|折纸|scar_网易订阅