1.2,多元微分

相关图片

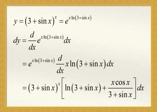
求(sinx 3)^x的微分

一元函数微分学——刷题(22-阿里云开发者社区

柒阅芒假发男士假发碎盖 韩版假发男短发全头套式男士帅气微分碎盖网

求微分啊?麻烦各位了.

微分中的dx与定积分中的dx含义相同吗

随机推荐

十二星座 星座排行 双鱼座理财能力不佳主要是因为数字概念不好,可是

原创张靓颖旧居变表白墙上热搜好多歌迷打卡留言连天花板上都写满

从吞噬星空动画官微发布的动态来看,官方准备搞一场关于罗峰机甲的线

幼儿园发声练声曲简谱幼儿园大班发声曲谱

圣诞节九宫格图片

演员何冰结婚几十年0绯闻竟然是因为他的妻子

知识丨男生的蛋蛋到底有多重

凯美莉简笔画