一元函数微分的本质

相关图片

凑微分典型题

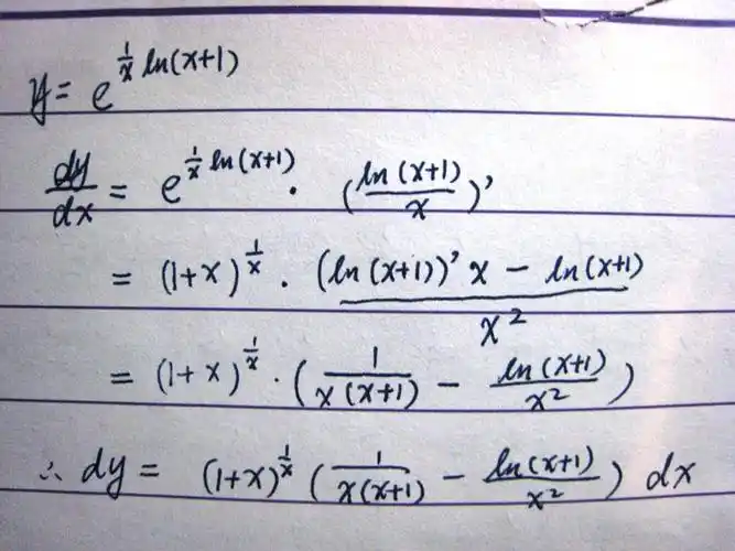
求微分啊?麻烦各位了.

matlab学习笔记10微分与积分

1.2,多元微分

微分中的dx与定积分中的dx含义相同吗

随机推荐

杨紫李现杨紫李现我的cp天下第一甜磕cp的快乐向全世界安利

迪丽热巴在哪部综艺中的表现最可爱呢

18到40岁男士发型这样剪时尚有型真帅气

张学友广州演唱会正式宣布.

北京东路的日子(民谣)-流行_古筝谱-古筝曲谱-中国古筝网

本以为鞠婧祎清纯脸不适合反派角色,看到黑化的她,眼神让人心颤!

微信表情爱情蜜语

心血来潮深夜炖肉的结果. 就当是我交迟的江苏高考作文好了.